Radial Stress Analysis on Spinning Line
1. Radial stress distribution on spinning line


(a) The viscosity changes continuously along the radial direction;
(b) Viscosity is constant along the radial direction;
(c) Stretching viscosity has two fixed values in the skin-core structure.
1) The viscosity changes continuously along the radial direction


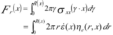
σxx(γ·x) is a function of both x and r;
R(x): The radius of the spinning line at x.
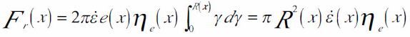
2) Viscosity is constant along the radial direction

![]()
3) Stretching viscosity has two fixed values in the skin-core structure
Set: skin extensional viscosity to be (ηe)s ; core extensional viscosity to be (ηe)c. Both are constants.
Tensile Stress is:


Conclusion:
1. The tension on the filament is actually completely borne and transmitted by the skin layer. The core layer in the flowing state is basically in a relaxed state, and the tension is small but sufficient to orient the skin layer.
2. The tensile stress σxx.s(x) on the skin layer at x decreases monotonously along the spinning line, and the skin layer is the thinnest near the spinneret, and the stress reaches the limit value. Therefore, the breakage of wet-spinning filaments often occurs near the spinneret. In order to prevent excessive tension, spinneret negative stretch or small positive stretch is often used in wet spinning
3.


This shows that the thicker the skin-layer of finished filament and the smaller the core-layer, the greater the winding tension. The finished filament has higher physical and mechanical performance.