Spinneret stretching in the wet forming zone
1. Characters of the stretched state of the spinning line in the forming zone
(1) Spinneret stretch rate: 
(2) Spinneret stretch ratio: ia= VL/VO= 
(3) Average Axial Velocity Gradient: (
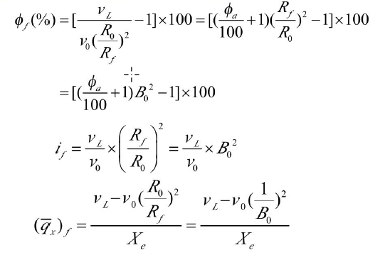
In the above formula: VO is the extrusion speed of the spinning stock solution; VL is the winding speed of the newly formed fiber on the first guide roller; Xe is the solidification length, that is, the distance between the solidification point and the surface of the spinneret.
2. Characters of the real stretched state of the spinning line in the forming zone
It can be seen that the calculations of the above formulas all take VO as the benchmark. For the negative stretching, zero stretching or little positive stretching process used in wet spinning, the real stretching state of the filaments cannot be characterized. Therefore, the characterization of the stretched state of the spinneret should not be based on VO, but should be based on Vf.
(1) Real spinneret stretch rate: 
(2) Real spinneret stretch ratio: ia= VL/Vf= 
(3) Real average Axial Velocity Gradient: (
Vf can be measured directly from the length of the free-flowing thin stream per unit time, or can be obtained from the extrapolated value when the stretching stress on the spinning line is zero. In addition, it has been suggested to calculate indirectly from the diameter Dm of the free-flowing thin stream. But in doing so, the influence of the mass transfer process must be considered.
According to the continuity equation, when there is no mass transfer, the mass of the spinning thread passing through each point of the spinning process per unit time should be equal, that is:
πR2(X)v(X)p(X) = πR02v0p0
πR2(X)v(X)p(X) = K
In the formula, P is the density of spinning thread at the spinning process.
For free-flowing thin stream: R02v0p0 = Rf2vfpf
When the density of the spinning thread does not change much along the spinning process, it can be simplified as: R02v0 = Rf2vf
At this time, the swelling ratio of the free-flowing thin-stream has the following relationship: B0= Rf/R0= (p0v0/pfvf)1/2 = (v0/vf)1/2
That is to say, in the case of negligible mass transfer and density changes, Vf can be obtained from the diameter of the free-flowing thin-stream, that is: vf = v0/B02 = v0(R0/Rf)2
In the case of general wet spinning with mass transfer process, the above formula is no longer valid.
When the apparent spinneret stretch rate φa is constant, if the Rf/R0 ratio is different, the real spinneret stretch rate is also different. The values of φf and φa often differ not only in magnitude, but also in symbol.
The effect of B0 on stretching of swollen thin-stream
It can be seen that the spinneret stretching ratio is negative apparently. If it is due to the larger swelling of the thin-stream, the elongation rates the thin-stream withstood is actually positive.